Ép cọc bê tông: Quy trình và báo giá ép cọc chi tiết 2026
Ngày cập nhật: 16/12/2025 bởi Lê Xuân Minh
Bước sang năm 2026, tiêu chuẩn xây dựng nhà phố và biệt thự ngày càng được thắt chặt hơn về độ an toàn và khả năng chịu tải. Trong bối cảnh đô thị hóa nhanh, quỹ đất xây dựng ngày càng khan hiếm và nền địa chất phức tạp, phương pháp móng băng truyền thống dần được thay thế bởi giải pháp ép cọc bê tông. Đây được xem là "chìa khóa vàng" đảm bảo sự vững chãi trường tồn cho mọi công trình.
Tuy nhiên, thị trường xây dựng 2026 có nhiều biến động về giá vật liệu và nhân công. Làm sao để chọn đúng phương pháp ép (Neo hay Tải)? Làm sao để không bị "hớ" về giá? Và quy trình giám sát thế nào để không bị nhà thầu qua mặt?
Với kinh nghiệm thực chiến xử lý nền móng cho hàng trăm công trình xây nhà trọn gói và xây nhà phần thô, Xây Dựng Minh Duy sẽ cung cấp cho bạn cẩm nang toàn diện và bảng giá ép cọc bê tông mới nhất đón đầu năm 2026 trong bài viết này.
Mục lục
1. Ép cọc bê tông là gì? Xu hướng giải pháp móng 2026
Ép cọc bê tông là phương pháp sử dụng các thiết bị máy móc chuyên dụng (dàn ép thủy lực) để đưa những cây cọc bê tông cốt thép đúc sẵn xuống sâu trong lòng đất, xuyên qua các lớp đất yếu để chạm đến tầng đất cứng có khả năng chịu lực cao.
Tại sao năm 2026 ép cọc bê tông là lựa chọn bắt buộc?
Khác với những năm trước đây, xu hướng xây dựng 2026 tập trung vào tối ưu chiều cao (xây nhiều tầng hơn trên diện tích nhỏ). Móng cọc giải quyết triệt để các vấn đề:
-
Triệt tiêu sụt lún: Ngăn chặn hoàn toàn tình trạng nhà bị nghiêng, nứt tường do lún lệch - "căn bệnh" phổ biến của nhà phố đô thị.
-
Chịu tải trọng khủng: Phù hợp cho xu hướng nhà phố 4, 5 tầng, nhà có tầng hầm hoặc thang máy.
-
Thi công êm ái: Công nghệ ép thủy lực đời mới giúp giảm thiểu tiếng ồn và rung chấn, không làm ảnh hưởng đến nhà hàng xóm (vấn đề nhạy cảm nhất khi xây chen trong phố).

2. Phân loại phương pháp ép cọc: Neo hay Tải?
Để trả lời câu hỏi "Nhà tôi nên dùng phương pháp nào?", chúng ta cần phân biệt rõ 2 hình thức ép cọc bê tông phổ biến nhất cho nhà dân dụng. Sự khác biệt nằm ở "đối trọng" (thứ dùng để đè cọc xuống).
2.1. Ép cọc Neo (Giải pháp cho hẻm nhỏ, chi phí thấp)
Đây vẫn là "vua" của phân khúc nhà phố trong hẻm sâu năm 2026.
-
Cơ chế: Dùng các mũi khoan neo khoan sâu xuống đất để làm ngàm giữ chân máy ép.
-
Ưu điểm: Máy nhỏ gọn, linh hoạt luồn lách vào hẻm bề ngang chỉ từ 1.2m. Chi phí rẻ nhất.
-
Lực ép: Tối đa 40 - 50 tấn/đầu cọc.
-
Phạm vi: Dành cho nhà phố quy mô nhỏ (1 trệt 2 lầu), nền đất yếu vừa phải.
2.2. Ép cọc Tải (Giải pháp cho nhà cao tầng, tải trọng lớn)
-
Cơ chế: Dùng các khối sắt đặc hoặc bê tông đúc sẵn xếp chồng lên nhau để tạo sức nặng đè cọc.
-
Ưu điểm: Tạo lực ép lớn, độ ổn định cao hơn ép neo.
-
Lực ép: Từ 60 - 120 tấn/đầu cọc (tùy số lượng cục tải).
-
Phạm vi: Dành cho nhà phố 4-6 tầng, biệt thự, công trình diện tích > 40m2 và hẻm xe tải vào được.
3. Bảng báo giá ép cọc bê tông (Cập nhật dự báo 2026)
Bước sang 2026, dự báo giá thép và xi măng có xu hướng tăng nhẹ do chi phí năng lượng và vận chuyển. Dưới đây là bảng giá cập nhật mới nhất từ Xây Dựng Minh Duy để quý khách hàng lên dự toán chính xác.
3.1. Đơn giá vật tư cọc bê tông đúc sẵn
Loại cọc tiêu chuẩn cho nhà dân dụng: Cọc vuông 250x250mm.
| Loại cọc (Tiết diện) | Thép chủ | Mác bê tông | Đơn giá 2026 (VNĐ/md) |
| Cọc 250x250 | 4 cây phi 16 (Việt Nhật) | Mác 250 | 215.000 - 235.000 |
| Cọc 250x250 | 4 cây phi 16 (HVUC/Tisco) | Mác 250 | 195.000 - 215.000 |
| Cọc 300x300 | 4 cây phi 18 (Việt Nhật) | Mác 300 | 290.000 - 330.000 |
| Cọc ly tâm D300 | Thép dự ứng lực | Mác 600 | 300.000 - 340.000 |
(Lưu ý: Đơn giá đã bao gồm vận chuyển đến chân công trình tại khu vực TP.HCM và lân cận)

3.2. Đơn giá nhân công ca máy ép (Trọn gói)
Chi phí thuê máy móc và nhân công vận hành:
| Phương pháp ép | Khối lượng < 300md (Khoán trọn gói) | Khối lượng > 300md (Tính theo mét) |
| Ép Neo | 13.000.000 - 16.000.000 VNĐ | 45.000 - 55.000 VNĐ/md |
| Ép Tải Sắt | 19.000.000 - 23.000.000 VNĐ | 55.000 - 65.000 VNĐ/md |
| Ép Robot | Liên hệ khảo sát | Liên hệ khảo sát |
Ví dụ dự toán mẫu: Bạn xây nhà 3 tầng, ép 20 tim cọc, mỗi tim sâu 20m. Tổng 400m cọc. Dùng phương pháp Ép Tải.
Tiền cọc (Việt Nhật): 400m x 225.000đ = 90.000.000đ
Tiền nhân công: 400m x 55.000đ = 22.000.000đ
Tổng cộng: 112.000.000đ (Chưa VAT).
4. Quy trình ép cọc bê tông chuẩn kỹ thuật
Tại Xây Dựng Minh Duy, chúng tôi áp dụng quy trình 5 bước nghiêm ngặt để đảm bảo chất lượng cọc ép, giúp chủ nhà an tâm tuyệt đối:
Bước 1: Khảo sát và Chuẩn bị
-
Phá dỡ, san lấp mặt bằng đảm bảo phẳng phiu, chịu được tải trọng máy ép.
-
Tập kết cọc: Kiểm tra tem mác, đảm bảo cọc không bị nứt vỡ do vận chuyển.
Bước 2: Trắc đạc định vị tim cọc
-
Sử dụng máy toàn đạc điện tử để xác định vị trí tim cọc theo bản vẽ thiết kế.
-
Cắm mốc bằng sắt hoặc cọc tre, sơn đỏ đánh dấu. Sai số cho phép < 1cm.
Bước 3: Ép cọc thử
-
Trước khi ép đại trà, tiến hành ép 1-2 tim cọc thử tại các vị trí ranh giới đất.
-
Mục đích: Xác định chính xác chiều sâu địa chất thực tế (có thể khác với hồ sơ khảo sát ban đầu) để chốt chiều dài tổ hợp cọc, tránh lãng phí cọc thừa hoặc thiếu cọc.
Bước 4: Ép cọc đại trà
-
Dựng cọc: Cẩu cọc vào lồng ép, cân chỉnh bằng thước li-vô hoặc máy kinh vĩ để đảm bảo cọc thẳng đứng 90 độ. Nếu cọc nghiêng sẽ gây gãy cọc hoặc giảm sức chịu tải.
-
Hàn nối cọc: Khi hết đoạn cọc đầu, tiến hành nối đoạn tiếp theo bằng bản mã sắt. Yêu cầu đường hàn phải kín 4 mặt, mối hàn cao > 4mm và sơn chống gỉ.
-
Kết thúc ép: Dừng ép khi thỏa mãn 2 điều kiện: Mũi cọc chạm tầng đất cứng (áp lực đồng hồ tăng đột ngột) và lực ép đạt Pmin theo thiết kế.
Bước 5: Nghiệm thu và Bàn giao
-
Kiểm tra số lượng tim cọc, chiều sâu từng tim.
-
Ký biên bản nghiệm thu lực ép tại hiện trường.
5. Kinh nghiệm "vàng" giám sát ép cọc chủ nhà cần biết
Để tránh bị "móc túi" hoặc thi công ẩu, Xây Dựng Minh Duy chia sẻ những kinh nghiệm xương máu sau:
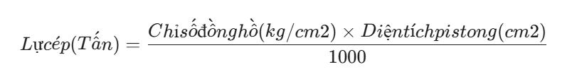
5.1. Bí kíp đọc đồng hồ áp suất
Nhà thầu báo "đủ tải rồi" nhưng làm sao bạn biết? Hãy nhìn vào đồng hồ áp suất trên máy ép và dùng công thức quy đổi:

Ví dụ: Đồng hồ chỉ 150 kg/cm2, máy ép có xy-lanh D200 (Diện tích ~314cm2). => Lực ép thực tế = (150 x 314) / 1000 = 47.1 Tấn.
5.2. Nhận biết cọc kém chất lượng
Cọc tốt (Mác 250+) thường có màu xám xanh, bề mặt láng, cạnh sắc, gõ búa nghe tiếng "keng" đanh gọn. Cọc kém chất lượng (pha nhiều cát) màu trắng bệch, bề mặt rỗ, gõ nghe tiếng "bộp" và dễ vỡ cạnh.
5.3. Xử lý khi ép cọc gây nứt nhà hàng xóm
Đây là rủi ro lớn nhất khi ép cọc bê tông ở đô thị. Giải pháp là:
-
Khảo sát, chụp ảnh hiện trạng nhà lân cận trước khi ép (lập biên bản xác nhận).
-
Nếu đất quá yếu và nhà bên cạnh móng nông, bắt buộc phải dùng biện pháp khoan dẫn (khoan mồi) để rút bớt đất, giảm áp lực ngang gây nứt tường.
6. Câu hỏi thường gặp (Q&A)
Q: Cọc ép neo chịu được tối đa bao nhiêu tầng?
A: Với lực ép 40-45 tấn, cọc ép neo phù hợp nhất cho nhà phố quy mô dưới 3 tầng (1 trệt 2 lầu). Nếu xây cao hơn, bạn nên chuyển sang ép tải để đảm bảo an toàn.
Q: Ép âm là gì? Tại sao tốn thêm tiền?
A: Ép âm là kỹ thuật dùng một cây cọc dẫn (bằng sắt) để ép mũi cọc bê tông cuối cùng xuống sâu hơn mặt đất tự nhiên (thường từ 1-1.5m) để sau này thi công đài móng. Việc này tốn thêm nhân công lắp/tháo cọc dẫn nên sẽ có đơn giá riêng.
Q: Khoảng cách giữa các tim cọc bao nhiêu là chuẩn?
A: Theo tiêu chuẩn TCVN, khoảng cách tối thiểu giữa 2 tim cọc là 3D (3 lần đường kính cọc). Ví dụ cọc 250mm thì khoảng cách tối thiểu là 750mm. Ép quá gần sẽ làm giảm hiệu suất chịu tải của nhóm cọc.
Đầu tư cho ép cọc bê tông là khoản đầu tư thông minh nhất cho sự an toàn của ngôi nhà. Một hệ móng vững chắc không chỉ giúp công trình bền bỉ trăm năm mà còn giúp bạn ngủ ngon, không lo nứt nẻ, sụt lún.
Bước sang năm 2026, với những cập nhật mới về công nghệ và giá cả, việc lựa chọn một nhà thầu uy tín, minh bạch là vô cùng quan trọng. Tại Xây Dựng Minh Duy, chúng tôi cam kết sử dụng 100% cọc thép Việt Nhật, máy móc kiểm định rõ ràng và quy trình thi công chuẩn chỉ.
Liên hệ ngay với chúng tôi để nhận tư vấn giải pháp móng và báo giá ưu đãi nhất cho năm 2026!
CÔNG TY TNHH XÂY DỰNG MINH DUY
-
Địa chỉ: 95/121 Đ. Lê Văn Lương, P. Tân Hưng, TP HCM
-
Hotline/Zalo: 0982.96.93.79 (Mr. Minh)
-
Email: xaydungminhduy@gmail.com
-
Website: www.xaydungminhduy.com
-
Mã số thuế: 0314513901
Xây Dựng Minh Duy – Nền Móng Vững Chắc, Tương Lai Vươn Xa.