Mật độ xây dựng là gì? Cách tính mật độ xây dựng nhà phố chuẩn 2026
Ngày cập nhật: 14/12/2025 bởi Lê Xuân Minh
Khi sở hữu một mảnh đất 100m2, liệu bạn có được phép xây dựng hết cả 100m2 đó không? Câu trả lời trong hầu hết các trường hợp là KHÔNG. Đây là điểm mà rất nhiều gia chủ lầm tưởng, dẫn đến sai lệch hoàn toàn trong dự tính ngân sách và thiết kế. Yếu tố quyết định diện tích thực tế bạn được phép đặt "những viên gạch đầu tiên" chính là mật độ xây dựng.
Vậy chính xác mật độ xây dựng là gì? Tại sao cơ quan chức năng lại khắt khe vấn đề này? Và làm thế nào để tính toán con số này chuẩn xác theo quy định mật độ xây dựng mới nhất của Bộ Xây dựng?
Với kinh nghiệm thực hiện thủ tục pháp lý cho hàng trăm công trình tại TP.HCM, Xây Dựng Minh Duy sẽ cùng bạn giải mã tường tận khái niệm này, giúp bạn tối ưu hóa không gian sống mà vẫn tuân thủ tuyệt đối pháp luật.
Mục lục
1. Định nghĩa chuẩn: Mật độ xây dựng là gì?
Theo Quy chuẩn kỹ thuật quốc gia về Quy hoạch xây dựng (QCXDVN 01:2021/BXD) do Bộ Xây dựng ban hành, mật độ xây dựng được hiểu đơn giản là tỷ lệ diện tích chiếm đất của các công trình kiến trúc trên tổng diện tích lô đất (không bao gồm diện tích của các công trình ngoài trời như: bể bơi, sân thể thao, tiểu cảnh sân vườn...).
Để hiểu sâu hơn, chúng ta cần phân biệt rõ hai loại mật độ sau:
1.1. Mật độ xây dựng thuần
Đây là khái niệm quan trọng nhất đối với mật độ xây dựng nhà ở riêng lẻ (nhà phố, biệt thự). Nó là tỷ lệ diện tích chiếm đất của ngôi nhà trên tổng diện tích lô đất của bạn.
-
Ví dụ: Bạn có mảnh đất 100m2, bạn xây nhà trên diện tích 80m2, chừa 20m2 làm sân. Mật độ xây dựng thuần là 80%.
1.2. Mật độ xây dựng gộp
Khái niệm này thường dành cho các chủ đầu tư dự án lớn hoặc các nhà quy hoạch đô thị. Nó là tỷ lệ diện tích chiếm đất của các công trình kiến trúc trên tổng diện tích của toàn bộ khu đất (bao gồm cả sân đường, các khu cây xanh, không gian mở và các khu vực không xây dựng khác trong khu đất đó).
Góc nhìn chuyên gia: Đối với chủ nhà chuẩn bị xây nhà phố, bạn chỉ cần quan tâm tối đa đến mật độ xây dựng thuần. Đây là con số "sinh tử" quyết định bạn được xây bao nhiêu lầu, bao nhiêu phòng.
2. Tại sao phải tuân thủ quy định mật độ xây dựng?
Nhiều gia chủ cảm thấy "tiếc đất" khi phải chừa lại khoảng lùi hoặc sân vườn theo quy định. Tuy nhiên, việc kiểm soát mật độ xây dựng mang lại những lợi ích thiết thực:
-
Đảm bảo mỹ quan đô thị: Tạo ra sự đồng bộ, tránh tình trạng nhà cửa san sát ngột ngạt.
-
Môi trường sống chất lượng: Phần đất trống (mật độ không xây dựng) giúp đối lưu không khí, lấy sáng tự nhiên, giảm tiếng ồn và khói bụi.
-
An toàn phòng cháy chữa cháy: Khoảng cách giữa các công trình giúp hạn chế cháy lan và tạo lối thoát hiểm khi có sự cố.
-
Cơ sở pháp lý: Tuân thủ đúng mật độ là điều kiện tiên quyết để hoàn công (cấp sổ hồng mới) sau khi xây dựng.

3. Cách tính mật độ xây dựng chuẩn xác nhất
Dựa trên Quyết định số 04/2008/QĐ-BXD và cập nhật tại QCXDVN 01:2021/BXD, cách tính mật độ xây dựng được áp dụng theo công thức sau:

Trong đó:
-
Diện tích chiếm đất của công trình: Là diện tích hình chiếu bằng của công trình (tính theo kích thước phủ bì tường bao). Lưu ý: Không bao gồm các phần như sê-nô, ban công, ô văng, bậc tam cấp...
-
Tổng diện tích lô đất: Là diện tích đất nằm trong chỉ giới đường đỏ (diện tích được cấp trong sổ đỏ).
Ví dụ minh họa thực tế (Case Study):
Gia đình anh Nam sở hữu lô đất có diện tích 5m x 20m = 100m2.
Theo quy định tại khu vực đó, mật độ xây dựng cho phép tối đa là 85%.
-
Diện tích được phép xây dựng: 100m2 X 85% = 85m2.
-
Diện tích bắt buộc phải chừa làm sân (thông tầng/giếng trời): 100m2 - 85m2 = 15m2.
Như vậy, anh Nam chỉ được xây tầng trệt với diện tích tối đa 85m2. Nếu anh cố tình xây hết 100m2, công trình sẽ bị coi là xây dựng trái phép.
Để biết chính xác lô đất của mình được phép xây bao nhiêu %, mời bạn tham khảo bảng tra cứu dưới đây hoặc liên hệ dịch vụ báo giá xây nhà trọn gói của Minh Duy để được tư vấn miễn phí.
4. Quy định mật độ xây dựng mới nhất
Đây là phần quan trọng nhất. Theo Quy chuẩn kỹ thuật quốc gia (QCXDVN 01:2021/BXD), mật độ xây dựng nhà ở riêng lẻ (nhà phố, nhà liền kề, biệt thự) được quy định dựa trên diện tích lô đất và chiều cao công trình như sau:
Bảng tra cứu mật độ xây dựng tối đa:
| Diện tích lô đất (m2) | Mật độ xây dựng tối đa (%) |
| ≤ 50 | 100 |
| 75 | 90 |
| 100 | 80 |
| 200 | 70 |
| 300 | 60 |
| 500 | 50 |
| ≥ 1.000 | 40 |
Lưu ý quan trọng:
-
Dưới 50m2: Nếu lô đất của bạn nhỏ hơn hoặc bằng 50m2, bạn được phép xây dựng 100% diện tích đất (vẫn phải đảm bảo quy định về lộ giới và chiều cao).
-
Phương pháp nội suy: Nếu diện tích đất của bạn nằm giữa các khoảng trên (ví dụ 85m2, 120m2...), bạn phải dùng công thức nội suy để tính ra % chính xác, chứ không được làm tròn.
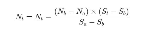
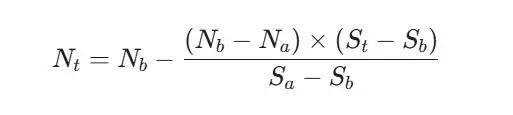
Công thức nội suy mật độ xây dựng:

Trong đó:
-
Nt: Mật độ xây dựng cần tính.
-
St: Diện tích lô đất cần tính.
-
Nb: Mật độ xây dựng của mốc diện tích cận dưới.
-
Na: Mật độ xây dựng của mốc diện tích cận trên.
-
Sb: Diện tích của mốc cận dưới.
-
Sa: Diện tích của mốc cận trên.
Nghe có vẻ phức tạp phải không? Đừng lo lắng, khi bạn sử dụng dịch vụ xây nhà trọn gói tại Xây Dựng Minh Duy, đội ngũ kiến trúc sư của chúng tôi sẽ tính toán con số này chính xác đến từng centimet cho bạn trong hồ sơ xin phép xây dựng.
5. Các yếu tố KHÔNG tính vào mật độ xây dựng
Để tối ưu hóa không gian sử dụng mà không vi phạm mật độ xây dựng, bạn cần biết những hạng mục nào không bị tính vào diện tích chiếm đất:
-
Tiểu cảnh sân vườn, hồ bơi: Các công trình trang trí ngoài trời.
-
Sân thể thao, bãi giữ xe ngoài trời: Không có mái che kiên cố.
-
Các bộ phận nhô ra (tùy quy định địa phương): Như sê-nô, ô-văng, mái đua, bậc tam cấp (trong giới hạn cho phép của chỉ giới đường đỏ).
-
Giếng trời (Thông tầng): Nếu giếng trời được thiết kế thông từ mái xuống trệt và không có sàn bê tông che lấp, phần diện tích này có thể được xem là khoảng trống để tính mật độ (tuy nhiên, quy định này tùy thuộc vào cách giải trình và quy hoạch chi tiết của từng Quận/Huyện).
6. Mật độ xây dựng và Khoảng lùi: Mối quan hệ mật thiết
Bên cạnh mật độ xây dựng, "khoảng lùi" cũng là yếu tố giới hạn diện tích xây dựng.
-
Khoảng lùi là khoảng cách giữa chỉ giới đường đỏ (ranh giới đất) và chỉ giới xây dựng (mépp tường nhà).
-
Nhà càng cao, đường càng nhỏ thì khoảng lùi càng lớn.
Ví dụ: Đường trước nhà rộng dưới 19m, công trình cao trên 22m (khoảng 6-7 tầng) thì bắt buộc phải lùi vào 3m so với lề đường, dù cho mật độ xây dựng cho phép bạn xây nhiều hơn thế. Do đó, diện tích xây dựng thực tế sẽ là giao thoa giữa: Diện tích cho phép theo mật độ VÀ Diện tích sau khi đã trừ khoảng lùi.
7. Kinh nghiệm "vàng" từ chuyên gia Xây Dựng Minh Duy
Là một nhà thầu xây nhà trọn gói lâu năm, chúng tôi thường gặp nhiều trường hợp chủ nhà "khóc ròng" vì tự ý xây hết đất. Dưới đây là những lời khuyên xương máu:
-
Không bao giờ nghe lời "cò" xây dựng: Nhiều người hứa hẹn "bao luật" để xây lố mật độ. Tuy nhiên, khi thanh tra xuống, người chịu phạt và buộc tháo dỡ chính là chủ nhà, không phải người xây.
-
Tận dụng khoảng lùi làm sân: Đừng xem phần đất chừa lại là lãng phí. Hãy biến nó thành sân để xe, tiểu cảnh xanh mát. Điều này vừa đúng luật, vừa tăng giá trị thẩm mỹ cho ngôi nhà.
-
Thiết kế giếng trời thông minh: Nếu bị giới hạn mật độ, hãy bố trí giếng trời ở giữa hoặc sau nhà để lấy sáng cho các phòng ngủ, biến nhược điểm thành ưu điểm thoáng khí.
-
Kiểm tra quy hoạch chi tiết 1/500: Ở một số dự án khu dân cư mới, quy định mật độ xây dựng mới nhất có thể khác với quy chuẩn chung (thường khắt khe hơn). Hãy kiểm tra kỹ bản đồ quy hoạch 1/500 của khu vực.
8. Câu hỏi thường gặp (FAQ) về mật độ xây dựng
Q: Ban công có tính vào mật độ xây dựng không? A: Không. Ban công là phần nhô ra khỏi tường bao, thuộc về "chỉ giới xây dựng trên cao". Nó không được tính vào diện tích chiếm đất (mật độ xây dựng) nhưng phải tuân thủ quy định về độ vươn ban công.
Q: Tầng hầm có tính vào mật độ xây dựng không? A: Có. Đối với các công trình có tầng hầm, diện tích nổi của hầm hoặc ram dốc dẫn xuống hầm vẫn được tính là phần chiếm đất. Tuy nhiên, phần ngầm hoàn toàn dưới đất không ảnh hưởng đến hệ số sử dụng đất nổi.
Q: Nhà tôi ở nông thôn thì tính mật độ xây dựng thế nào? A: Quy định mật độ xây dựng nhà ở riêng lẻ áp dụng chung cho cả đô thị và nông thôn theo QCXDVN 01:2021/BXD. Tuy nhiên, ở nông thôn đất thường rộng, nên quy định về mật độ thường là 40-60% để đảm bảo cảnh quan.
Q: Nếu lỡ xây vượt quá mật độ xây dựng thì sao? A: Bạn sẽ bị phạt hành chính (từ 10-20 triệu đồng trở lên tùy mức độ) và buộc phải tháo dỡ phần công trình vi phạm. Quan trọng hơn, bạn sẽ không thể hoàn công để cập nhật tài sản vào sổ hồng.
Hiểu đúng mật độ xây dựng la gì và biết cách tính mật độ xây dựng không chỉ giúp bạn tuân thủ pháp luật mà còn là bước đầu tiên để kiến tạo một không gian sống khoa học, thoáng đãng. Đừng vì tham một vài mét vuông xây dựng mà đánh đổi sự an toàn pháp lý của cả ngôi nhà.
Tại Xây Dựng Minh Duy, chúng tôi không chỉ xây nhà, chúng tôi xây dựng sự an tâm. Khi lựa chọn dịch vụ của chúng tôi, mọi thủ tục pháp lý, tính toán mật độ, xin phép xây dựng đều được thực hiện trọn gói, minh bạch và chính xác tuyệt đối.
Nếu bạn đang sở hữu một lô đất và băn khoăn không biết được xây bao nhiêu tầng, bao nhiêu m2, hãy liên hệ ngay với chúng tôi để được khảo sát và tư vấn miễn phí.
CÔNG TY TNHH XÂY DỰNG MINH DUY
-
Địa chỉ: 95/121 Đ. Lê Văn Lương, P. Tân Hưng, TP HCM
-
Hotline/Zalo: 0982.96.93.79 (Mr. Minh)
-
Email: xaydungminhduy@gmail.com
-
Website: www.xaydungminhduy.com
-
Mã số thuế: 0314513901
Xây Dựng Minh Duy – Kiến tạo không gian, Vun đắp hạnh phúc.